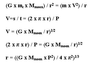
Нека mc e масата на кораба, в който се намира третият астронавт. Тогава гравитационната сила на Луната трябва да бъде равна на центробежната сила на кораба, намиращ се на кръгова орбита на разстояние r.
Като заместим числените стойности в по-горния израз, за радиуса на орбитата на кораба се получава:
r = 88 393 km.
Полученото разстояние е голямо и е необходимо да се провери, коя гравитационна сила доминира на това място. Имайки предвид, че разстоянието между Земята и Луната е приблизително L= 384 000 km и ако с Fearth и Fmoon означим гравитационните сили, с които действат върху кораба, съответно Земята и Луната, то получаваме следното отношение:

Като заместим числените стойности се получава:
r = 88 393 km (между кораба и центъра на Луната) и следователно, той не може да бъде спътник на Луната (вероятно ще стане спътник на Земята). От което следва, че не е възможно около Луната да обикаля стационарен спътник.